March Madness College Football Edition: Favorites, Underdogs, and Cinderella Stories Matthew Martinez Jan 20, 2026 March Madness is here, but what if the 2024 NCAA Tournament was for college football? Who would win the 68-team bracket?
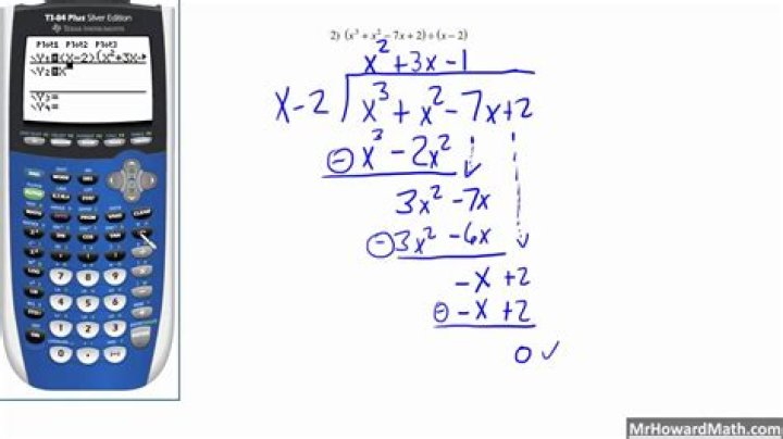
Polynomial Long Division: 5x^3-47x+8/x+3 David Wilson Jan 20, 2026 Polynomial Long Division: 5x^3-47x+8/x+3
Ohio Bobcats Depth Chart 2023 John Hall Jan 20, 2026 The starting rotation at every position on the Ohio Bobcats depth chart for the 2023 season.
SoLLUMINATI Phone Number, WhatsApp Number Contact Number Mobile Daniel Rodriguez Jan 20, 2026 SoLLUMINATI Phone Number is +1(830)541-7670. New Numbers are…. WhatsApp Number, House Address, Email Id, Contacts
Melissa ( Melimtx) Onlyfans Wiki, Biography, Age, Height, Info, Details Sarah Rodriguez Jan 20, 2026 She is just 19 years old as of the year 2022. Melissa was born and brought up in France. To know more about Melissa ( Melimtx) Onlyfans
List of Bulldogs' SEC Opponents Emma Powell Jan 20, 2026 The 2025 Georgia football schedule varies slightly from 2024, changing venues but playing the same SEC opponents.
Odeya Rush Phone Number, WhatsApp Number Contact Number Mobile John Hall Jan 20, 2026 Odeya Rush Phone Number is +1(236)359-5644. New Numbers are…. WhatsApp Number, Contact Number, Mobile, Personal Real Number, Email
Who Is Lisa Dorrian Suspect Mark Lovett Father? Reddit Update David Wilson Jan 20, 2026 Meet Mark Lovett' father, a guiding force of strength in Mark's life, whose unwavering support have shaped the person Mark is today.
Stephen Blosil bio, family, career, and net worth David Osborn Jan 20, 2026 Who is Stephen Blosil? Stephen Blosil was born under the spotlight as a celebrity...